Natuurlijke gifstoffen: Fumonisine
Fumonisine is een mycotoxine dat voornamelijk wordt geproduceerd door Fusarium
moniliforme (F.verticilloides),
F. proliferatum en enkele andere soorten
Fusariumschimmels die zowel tijdens de groei van landbouwgewassen als tijdens de opslag kunnen
groeien.
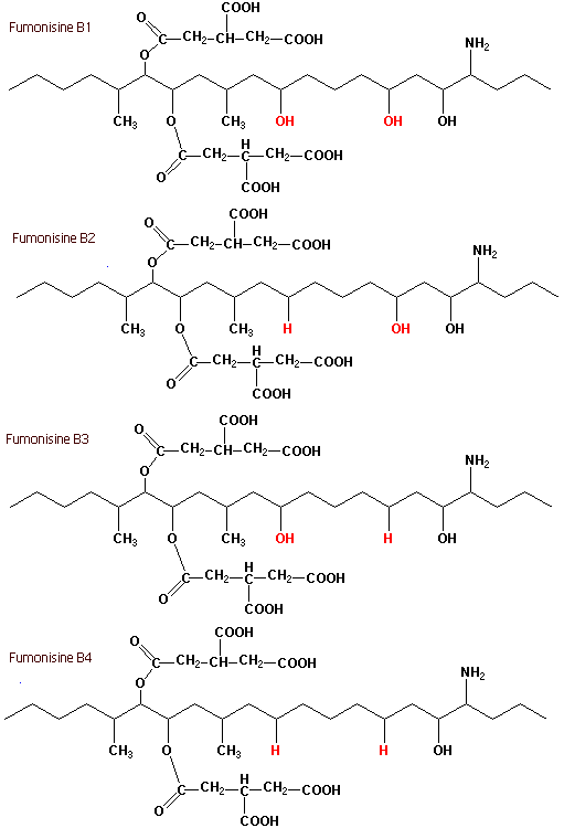
Fumonisine worden wereldwijd aangetroffen op maïs. In Noordwest-Europa verbouwde mais heeft in de regel weinig of geen besmetting met Fumonisine. Momenteel zijn een 10-tal type fumonisine toxinen bekend en gekarakteriseerd. Van deze zijn fumonisine B1 (FB1), FB2 en FB3 de meest geproduceerde soorten. Fumonisine FB1 komt van deze soorten het meeste voor.
Toxicologie
Bij landbouwhuisdieren die aan fumonisine worden blootgesteld worden diverse klinische
verschijnselen waargenomen. Het paard is het meest gevoelige dier voor fumonisine en
‘equineleukoencephalomalacia’ (ELEM) wordt het meest bij paarden waargenomen.
Bij ELEM
ontstaan gaten in de hersenen. Bij varkens, die aan fumonisine worden blootgesteld, ontstaat
longoedeem.
Dierexperimenteel onderzoek heeft aangetoond dat ook schade aan de lever optreedt als gevolg
van blootstelling.
In de nieren wordt celdood en laesies waargenomen. Chronische blootstelling van
proefdieren resulteert tenslotte in kanker (leverkanker). Dit is alleen bij hoge doses waargenomen.
De ‘lowest observed effect level’ voor ratten is vastgesteld op 0,19 mg fumonisine per kg lichaamsgewicht.
Blootstelling aan fumonisine
Het voorkomen van fumonisine in maïs wordt beïnvloed door onder andere de temperatuur tijdens de groei van maïs, vochtigheid, droogtestress, en regenval tijdens de oogst.
Onderzoek naar het voorkomen van fumonisine in Chinees graan toonde aan dat in rijst geen
fumonisine voorkomt. Wel kon fumonisine in maïs worden aangetoond. In positieve monsters werd gemiddeld
680 μg fumonisine per kg product aangetroffen. Al deze monsters bevatten ook het fumonisine B1
(gemiddeld 420 μg per kg product).
Ter vergelijking: maïs geïmporteerd uit Frankrijk en
bestemd voor humaan gebruik, bevat ongeveer gelijke hoeveelheden fumonisine B1.
Het gehalte aan fumonisine in maïsmeel wordt in sterke mate bepaald door of een droogmaal- of natmaalprocedé wordt toegepast. Fumonisine is geconcentreerd in de kiem van de maïs en in het omhulsel. Omdat fumonisine water oplosbaar is kan bij het natmalen fumonisine grotendeels worden verwijderd
Regelgeving
Voor de mens is de ‘tolerable daily intake’(TDI) vastgesteld op 0,5 μg per kg
lichaamsgewicht.
EU wetgeving normen mycotoxinen:
http://eur-lex.europa.eu/legal-content/NL/TXT/PDF/?uri=CELEX:32006H0576&from=EN
Formules en varianten
C34H59NO15
Cas-nummer: 116355-83-0
Structuurformules


Synoniemen
- Macrofusine
- Fungal metabolite from fusarium
- Monoliforme
- 1,2,3-propanetricarboxylic acid
-
1,1'-[12-amino-4,9,11-trihydroxy-2-methyltridecyl)-2-(1-methylpentyl)-1,2-ethanediyl]ester
Zie voor verdere informatie over de Koch – Eurolab analyses: de uitgebreide analyselijst